数学@ふたば
[ホーム]

[掲示板に戻る]
レス送信モード
おなまえ
E-mail
題  名
コメント
添付File []
削除キー(記事の削除用。英数字で8文字以内)

画像ファイル名:1760724862845.png-(201484 B)
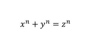
201484 B無題Name名無し25/10/18(土)03:14:22No.122523+ 26年5月頃消えます
国語には厳密なルールがあり
その複雑さは算数の上を行くものである
このルールを無視する者は礼儀だけでなく知能を疑われる
削除された記事が5件あります.見る
1無題Name名無し 25/10/18(土)03:15:20No.122524+
算数と書いたが当然数学もだ
数学の設問で国語の要件を満たさないものは
生徒の頭に残らない
2無題Name名無し 25/10/18(土)03:16:46No.122525+
掛け算九九や素数以上に
国語では知能をはかることができる

「立って朗読してみなさい」と言われて
具合が悪くなったり拒む生徒が存在する
3無題Name名無し 25/10/18(土)03:17:11No.122526+
国語の先生「その数学の式を朗読できるか?」
4無題Name名無し 25/10/18(土)03:18:11No.122527+
口頭で発表することもできないのなら学問の体をなしていない
黒板に書かせる前にまず「言わせる事」だ
5無題Name名無し 25/10/18(土)03:19:31No.122528+
国語の先生たち
「1344000x1255 などをやらないのは何故だ」
「まさか言えないのでは?」
6無題Name名無し 25/10/18(土)03:21:18No.122529+
国語では朗読できない設問は出ない
数学は全然まともに朗読できないのでは?
7無題Name名無し 25/10/18(土)03:22:00No.122530+
口頭での発表を重視する事はいうまでもなく
なめらかにスムーズに言える生徒に高得点だ
8無題Name名無し 25/10/18(土)03:22:23No.122531+
「口で言えないものを黒板に書こうとしてるのか?」
9無題Name名無し 25/10/18(土)03:23:08No.122532+
国語の先生の代理「その数式を皆に分かるように読んで聞かせなさい」
10無題Name名無し 25/10/18(土)03:23:53No.122533+
代理の国語の先生「読み方は習ってるはずですね
読んで聞かせなさい」
11無題Name名無し 25/10/18(土)03:24:33No.122534+
「何も見ないで説明出来た人を及第とします。」
12無題Name名無し 25/10/18(土)03:27:47No.122535+
    1760725667678.jpg-(36295 B)
36295 B
こんな本があるが
まず目の前の数式を朗読すれば
暗記じゃないと分かるだろう

次は見ないで暗唱、さらに計算を口頭で発表だ

落語でお客を得るにはまだまだ遠いぞ
13無題Name名無し 25/10/18(土)03:29:12No.122536+
国語で当たり前にやってる朗読だ

数式を朗読せよ
可能なら暗唱せよ
しかし覚えても無駄だ

発表時は別の数字やモチーフが応用として出される
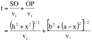
14無題Name名無し 25/10/18(土)03:30:39No.122537+
    1760725839553.jpg-(54867 B)
54867 B
これを声に出して読み上げなさい


すぐ詰まってしまうんじゃないか?喋り慣れてなくて
15無題Name名無し 25/10/18(土)03:32:40No.122538+
なんとか読み上げることができたら

それをクラスの全員に向けて暗唱してみせなさい

別次元の難易度が分かるだろう
まずは朗読が先だがこれも容易ではない
下手くそな読み上げは計算結果に影響する
16無題Name名無し 25/10/18(土)03:41:38No.122546+
算数の式の意味が分かるのは後で良いですよー笑
朗読が先ですw

「分かりにくいねえ」
「声に出して読みづらい」
「もっと分かりやすい書き方があるんじゃないか?」

国語のレベルは天井知らずだ
17無題Name名無し 25/10/18(土)03:42:16No.122547+
まずは口頭で読み上げられるようになりましょう
18無題Name名無し 25/10/18(土)03:43:04No.122548+
黒板やノートを使ってラクしてはいけません
19無題Name名無し 25/10/18(土)03:44:21No.122549+
学生さんたちは何も見ないで弁論大会に出ていますよ

数学はどうしたんですか一体
ずっとカンペを作っていたんですか
20無題Name名無し 25/10/18(土)03:45:24No.122550+
社会に出たあとで困りますよ
皆さんの迷惑になりますからね
書いたものは必ず読み上げられるように練習しましょう
21無題Name名無し 25/10/18(土)03:48:19No.122552+
    1760726899799.jpg-(14317 B)
14317 B
ただこれをやるだけですよ
算数、数学の時間でこれをやるだけです!
22無題Name名無し 25/10/18(土)03:49:00No.122553+
「黒板を使わず
数学の問題をそうやって問いてみなさい」

「世界が分かるだろう」
23無題Name名無し 25/10/18(土)03:51:01No.122554+
聞き取りづらかったり
皆の理解を得ていないなど言語道断です

その口頭での計算の後
全員が同じことをできるか調べます
24無題Name名無し 25/10/18(土)03:53:15No.122555+
さんすう数学口頭試験
読み上げ
暗唱
計算
本番での発表会
自己採点
他者採点
25無題Name名無し 25/10/18(土)03:56:15No.122556+
    1760727375961.png-(9557 B)
9557 B
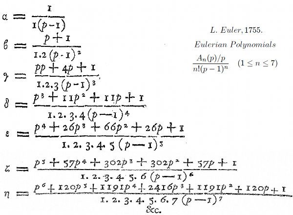
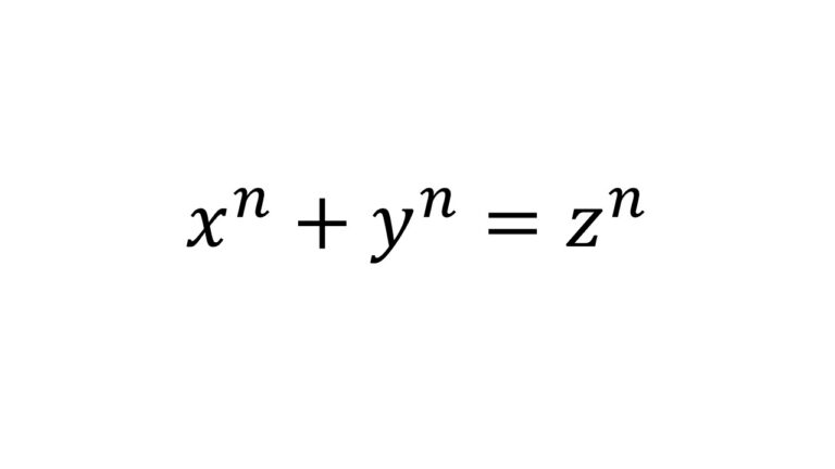
フェルマーの式だそうだが
読み上げるだけなら何てことはない
声に出して読もう!
それが成されない原因はどっちだ
26無題Name名無し 25/10/18(土)03:57:06No.122557+
国語の先生「数字代入したほうがいいんじゃないか?」
27無題Name名無し 25/10/18(土)03:58:57No.122558+
    1760727537270.jpg-(6186 B)
6186 B
こっちは言えるかな
言ったところでどうにかなるものではないが
まず言って聞かせられるか?小学生たちに
しかも「これではない」という
28無題Name名無し 25/10/18(土)04:05:43No.122562+
    1760727943883.png-(117734 B)
117734 B
これを声だけで解きなさい

ぬくいあまあまな世界が分かるだろう
29無題Name名無し 25/10/18(土)04:06:44No.122563+
手は一切使ってはいけない
声だけで解きなさい
30無題Name名無し 25/10/18(土)04:07:48No.122564+
計算結果はどんどん声に出して構いません
次々に声だけでときなさい
31無題Name名無し 25/10/18(土)06:41:08No.122570+
スレッドを立てた人によって削除されました
>国語には厳密なルールがありその複雑さは算数の上を行くものである

おかしなのが涌いてきたな
例えば現在法令工学というものがある
-------------
法令が制定目的に合うよう適切に作られ、論理的な矛盾や、関連法案との整合性がとれていることを、情報科学的手法によって検査・検証する技術。
-------------
これは「言語」という手法では解決が難しい論理的矛盾を数式表現で解決しようとするアプローチだ
(数学も言語の一種だがここでいう言語は狭義の言語)
「その複雑さは算数の上を行くものである」ならばこのようなものは必要ではないはず

他にも「自然数でない次元」という概念(フラクタル次元など)も自然言語ではちょっと表現が難しい
とりあえず絵と説明のリンクを貼っておく
https://www.nli-research.co.jp/report/detail/id=68116?site=nli
自分の乏しい知識だけで世界を作るのはやめましょう
32無題Name名無し 25/10/18(土)10:51:08No.122572+
不注意(集中力の持続が困難)

多動性(落ち着きがない、じっとしていられない)

衝動性(考えずに行動する)
33無題Name名無し 25/10/18(土)10:53:31No.122575+
数学の世界で言葉に気をつけられないのなら
点数は取れません
34無題Name名無し 25/10/18(土)10:56:01No.122576+
    1760752561999.jpg-(57376 B)
57376 B
算数ドリルを声に出して朗読して解きましょう
それが本当の数学力
35無題Name名無し 25/10/18(土)11:08:44No.122577+
これは数学のスレだけど
国語の授業は逆に手を使う部分があるかもしれないね
国語がニガテな人は手を使っていない
36無題Name名無し 25/10/18(土)11:10:24No.122578+
声に出して解き
他人に聞かせられるようになれれば及第です
何言ってるか分からないなんて論外
37無題Name名無し 25/10/18(土)11:11:09No.122579+
何一つ格好つける必要などない
38無題Name名無し 25/10/18(土)11:14:52No.122580+
何か湧いてたの?削除したよ
39無題Name名無し 25/10/18(土)11:15:39No.122581+
>No.122570
自分の乏しい知識だけで世界を作るのはやめましょう
40無題Name名無し 25/10/18(土)11:18:22No.122582+
算数は1たす1などとシンプルに言える
非常にカンタンだ
国語の足元にも及ばない
41無題Name名無し 25/10/18(土)11:21:36No.122583+
世界3大難しい言語は?
「世界3大難しい言語」という定説はありませんが、英語母語話者にとって難しいとされる言語には、一般的に中国語、アラビア語、日本語などが挙げられます。これらの言語は、文字体系の複雑さ、独特の文法、発音の難しさなどが理由として挙げられています。

親の教育がものを言うジャンルだ
42無題Name名無し 25/10/18(土)11:27:54No.122585+
1234と10まで言えないなんて
43無題Name名無し 25/10/18(土)11:30:32No.122586+
    1760754632704.png-(95961 B)
95961 B
これができない子なら
生きるのが算数より難しいでしょ
44無題Name名無し 25/10/18(土)16:40:17No.122637+
ひどいヤツだな、普通に反論したら消すのか?
45無題Name名無し 25/10/18(土)22:08:53No.122638+
    1760792933923.jpg-(34560 B)
34560 B
数学でこれ習わないのか
46無題Name名無し 25/10/18(土)22:09:50No.122639+
衝動的で不注意な行動は数学でもNGだ
47無題Name名無し 25/10/18(土)22:11:56No.122640+
>No.122637
どちらが酷いかは確認すれば誰でも分かる
人を貶める差別的な文章を使うなど
数学的思考ができる人間にはありえない事だ

話し手失格
48無題Name名無し 25/10/18(土)22:12:53No.122641+
そんなことより数学を国語のように朗読してみようぜ
難易度が桁違いに変わる
49無題Name名無し 25/10/18(土)22:14:20No.122642+
>ひどいヤツだな、普通に反論したら消すのか?

そんなレスする前にそのイラストを見て落ち着いて
素数でも数えたらどうだ
無駄なものをうっかり書き込んでしまって後悔してるだろう
50無題Name名無し 25/10/18(土)22:19:36No.122643+
数学を知る者がこんな言葉使いをしていたらナンセンスだお笑いだ「ひどい」
「ヤツ」「だな」

「消すのか?」
特にこの疑問文 数学を知ってるとは思えぬ発言だ
自分で調べ自分で考えれば分かる事を
どうしても我慢できず見せたかったのか

「普通に」とあるが果たしてアレのどこが普通なのか資料を持ってきて自分で調べなさい
51無題Name名無し 25/10/18(土)22:21:49No.122644+
レスなんかそっちのけで何より先に衝動的な不注意からくる否定文字を乱打してたように見えたな
52無題Name名無し 25/10/18(土)22:22:16No.122645+
数学板にふさわしくない言葉ばかりだったので削除した
ただそれだけだ
53無題Name名無し 25/10/18(土)22:31:19No.122646+
    1760794279049.png-(35358 B)
35358 B
x+y=10をグーグルは理解しない
答えは5ですと言えない

システムは難解すぎる国語(日本語)を理解しないのだ
54無題Name名無し 25/10/18(土)22:32:25No.122647+
答えが2つに増えた場合
ジタバタして何もできなくなる層が居そうだな
55無題Name名無し 25/10/18(土)23:31:12No.122648+
無意味な書き込みのおかげで
いいイラストが省略されて見えなくなってしまった
56無題Name名無し 25/10/18(土)23:34:30No.122649+
>No.122576
>No.122552
この絵を参考に算数ドリルを声に出して朗読して解きましょう
それが本当の数学力
他人に対する言葉遣いを失ったらおしまいだ
57無題Name名無し 25/10/19(日)06:28:25No.122698+
ここで何か削除したがその後何もない
特に反論する力を持たないということだ
58無題Name名無し 25/10/19(日)06:29:00No.122699+
その程度のやつの数式、証明式なんて笑
59無題Name名無し 25/10/19(日)13:37:50No.122703+
スレッドを立てた人によって削除されました
>ここで何か削除したがその後何もない
>特に反論する力を持たないということだ

スマン、おれが悪かった
キ印に反応してしまったのは俺のポリシーに反する
60無題Name名無し 25/10/19(日)21:15:00No.122706+
書き込みをした人によって削除されました
61無題Name名無し 25/10/19(日)21:15:53No.122707+
どうしてごめんなさいの一言がいえないの!
余計な一言はおばあちゃんの証
62無題Name名無し 25/10/19(日)21:16:50No.122708+
人に一度も謝ったことなさそう
63無題Name名無し 25/10/19(日)21:17:14No.122709+
身体が暴れて即打ち消したくなるのだろう
64無題Name名無し 25/10/19(日)21:19:15No.122710+
書き込みをした人によって削除されました
65無題Name名無し 25/10/19(日)21:19:53No.122711+
自分だけの独自言葉を持ってるんだねケイジ
もう見えないけど
66無題Name名無し 25/10/19(日)21:20:33No.122712+
書き込みをした人によって削除されました
67無題Name名無し 25/10/19(日)21:21:12No.122713+
頑張って20を出す→すぐ19を引き算したくなるこどもの心理
68無題Name名無し 25/10/19(日)21:33:54No.122721+
ごめんなさいの一言に余計なものをつける行為は
ラクな道に逃げたいのだ
69無題Name名無し 25/10/19(日)21:34:22No.122722+
提出した数字があまりにも巨大すぎたという事だ
70無題Name名無し 25/10/19(日)21:38:20No.122723+
ボソボソ「180…」 すぐ後から ー178する
71無題Name名無し 25/10/19(日)21:41:56No.122724+
180という数字に到底耐えきれないのだ すぐ引いてしまう
72無題Name名無し 25/10/19(日)21:47:04No.122725+
子どもが謝れない理由は、プライド、気持ちの整理ができていない、相手の気持ちを理解していない、衝動性、自己肯定感の低さなどが考えられます。対応としては、子どもの気持ちに共感し、無理に謝らせるのではなく、時間を置いたり、手紙や行動で気持ちを伝える方法を促したりすることが有効です。
73無題Name名無し 25/10/19(日)21:57:50No.122726+
    1760878670352.jpg-(18718 B)
18718 B
こんなのあると良さそうだ
いちいち構ってられない
こちらも定形を用意せんと

- GazouBBS + futaba-